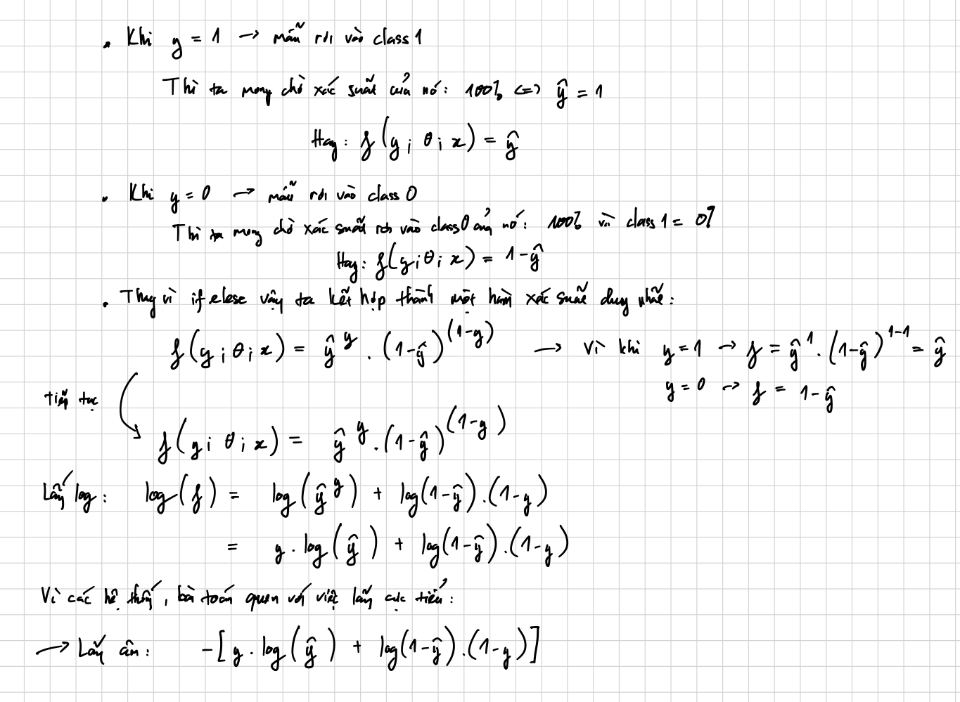
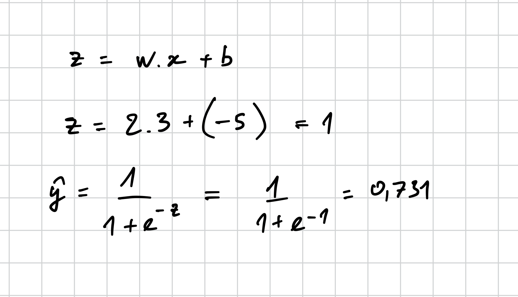
Sigmoid Function Hàm sigmoid có thể dịch chuyển Loss Function Binary Cross-Entropy L(y,y^)=−[ylog(y^)+(1−y)log(1−y^)] Lưu ý ở đây log là ln() Cách người ta xây dựng công thức: Đạo hàm: Excercise